
この記事に書いてある内容一覧
- 【Nothing Phone (3)の電池もち】は『やや良い』部類
- YouTubeで同じ動画を約90分間再生して電池がどの程度減るか(実機検証結果)
- 屋外など高輝度環境で長時間利用する際には注意。電池もちを優先するなら画面やバッテリー設定の調整を
- 【Nothing Phone (3)の充電速度】は有線が高速!ワイヤレスでも実用的な速度を維持。Bluetooth機器への給電にも対応
- 汎用的なPPS対応充電器で15分充電して電池残量+29%
- ワイヤレス充電効率化!MagSafe対応ケースを購入する場合は『マグネットの位置』に注意
- 他社モバイルバッテリー(Xiaomi 165W Power Bank 10000mAh)との相性も抜群
- Bluetoothイヤフォンケースなどを充電出来るバッテリー共有機能
- 【Nothing Phone (3)のリアカメラ画質】は全体的に『解像感』高め。ペリスコープ(望遠)カメラが『高倍率』『マクロ』『ポートレート』に大活躍!動画撮影時の『手ブレ補正』も優秀
- Nothing Phone(3)の主な背面カメラ仕様
- 直感的で扱いやすくカスタマイズ性にも優れるNothingのカメラアプリ
- GlyphミラーをONにすると背面カメラで自撮り出来る
- LUTを読み込んで自分だけのオリジナルフィルタを作成可能
- 【写真作例】Nothing Phone(3)の『超広角』『広角(メイン)』『ペリスコープ(望遠)』カメラ画質を比較(同じ場所で撮影)
- 【写真作例・評価】Nothing Phone(3)の超広角カメラで撮影(風景)
- 【写真作例・評価】Nothing Phone(3)の広角(メイン)カメラで撮影(風景)
- 【写真作例・評価】Nothing Phone(3)の広角(メイン)カメラで撮影(食べ物)
- 【写真作例・評価】Nothing Phone(3)のペリスコープ(望遠)カメラで撮影
- 【写真作例・評価】Nothing Phone(3)のペリスコープ(望遠)カメラで撮影(マクロモード)
- 【写真作例】Nothing Phone(3)の広角(メイン)/ペリスコープ(望遠)カメラで撮影(同じ被写体を異なる倍率で撮影して画質を比較)
- 【写真作例】Nothing Phone(3)のポートレートモードで撮影
- 【写真作例】Nothing Phone(3)の超広角/広角(メイン)カメラ(夜間モード)で撮影した静止画
- 【動画作例・評価】Nothing Phone(3)のカメラで撮影
- 【Nothing Phone (3)のフロントカメラ画質】5,000万画素の豊かな解像感とナチュラルな肌色を得られる
- 逆光下でもHDRが安定して自然な色再現と解像感を得られる。ポートレートモードはSNS向けに遊び心をプラス
- 安定した映像画質に良好なマイク音質。ビデオ会議を円滑に進められるツール
- 【Nothing Phone (3)のベンチマークスコア】『AnTuTu Benchmark』『Geekbench 6』『3DMark(Wild Life Stress Test)』実測結果まとめ
- 【実測】Nothing Phone(3)、Nothing Phone(2)、Nothing Phone(3a)、CMF Phone 2 ProのAnTuTu Benchmarkスコア(Ver.10.5.2)
- 【実測】Nothing Phone(3)に近い性能を持つスマートフォンのAnTuTu Benchmarkスコア実測値(ver.10.5.2)
- 【実測】Nothing Phone(3)のGeekbench6(CPU)スコア
- 【実測】Nothing Phone(3)の3DMark Wild Life Stress Testスコア
- Nothing Phone(3)のゲーム推奨設定(参考程度)
- 【Nothing Phone (3)のデザイン(見た目)】所有欲を満たしてくれるNothingプロダクト。計算され尽くしたレイアウトがスマホの新境地を開く
- 未来的な見た目でありながらサステナビリティ。Glyphインターフェースの刷新や独特なレンズ配置が新世代感を強める
- Nothingアイコン適用でホーム画面をクールにカスタマイズ
- Nothing Phone(3)に近い画面サイズの端末重量
- 【Nothing Phone (3)の画面】狭ベゼル化で没入感が増した発色豊かな有機ELディスプレイ。高輝度による屋外視認性向上も
- Nothing Phone(3)のディスプレイガラスは『Corning® Gorilla® Glass 7i』
- 明るい場所でも十分な視認性を得られるが長時間利用には注意
- 『高輝度』『高解像度』『10bit』が臨場感と見やすさを向上させる
- HDRコンテンツを表示する際のピーク輝度を4,500nitまで高める設定
- ディスプレイの色温度調整方法
- ブルーライトを制御する夜間モードはスケジュール管理機能を搭載
- 【Nothing Phone (3)の指紋認証】高輝度の恩恵か。高精度かつスムーズにロック解除
- 【Nothing Phone (3)のスピーカー音質】全体的にバランスを重視。中域評価高めで高域までしっかり伸びる
- 【Nothing Phone (3)のBluetooth環境】音質と遅延を自動最適化する、万能Bluetoothコーデック『aptX Adaptive』サポート。『LE Audio(LC3)』も接続可能
- 【aptX Adaptive】人が多い駅のホームなどで音が途切れづらくなる
- 【LE Audio(LC3)】警告は出るけど接続(再生)可能
- 【Nothing Phone (3)のGlyph Interface】より実用的に生まれ変わったNothingの独自機能
- 【Glyph Toys】時計・電池残量表示・ストップウォッチ機能に加えてゲームも出来る小さな遊び場
- 【Essential通知】指定した連絡先からの通知にオリジナルアイコンを表示させる
- 寝ている時間帯はGlyphマトリックスディスプレイの表示を自動OFFに
- 【Nothing Phone (3)で使えるジェスチャー】電源ボタン2回押しが『アプリ』から『機能』まで幅広く柔軟に対応
- 【Nothing Phone (3)はクローンアプリ&アプリロッカー対応】1台で2役!プライベートと仕事の使い分けをスマートかつ安全に
- 【Nothing Phone (3)のEssential Key & Spaceについて】スクリーンショットを音声メモと同時に保存&AI管理出来る。Phone(3)では文字起こし(オンデバイス)精度向上。データの効率化も進む
- オンデバイス(オフライン)の文字起こし精度をPhone(3)とCMF Phone 2 Proで比較
- AI分析で録音データをより効率的に管理
- 【Nothing Phone (3)に純正する付属ケース】背面デザインを活かすならやっぱり透明!安心感の強い正確な作り。カメラレンズやディスプレイも保護
- Nothing Phone(3)で楽天モバイルを使えるか
- Nothing Phone(3)の日本発売日
- Nothing Phone(3)の日本販売価格
- Nothing Phone(3)のアップデート保証期間
- Nothing Phone(3)の同梱品
- Nothing Phone(3)の主なスペック
- Nothing Phone(3)にお勧めなSIM
- Nothing Phone(3)に関するQ&A
- 実際に使って感じたNothing Phone(3)のメリットとデメリット
- 関連リンク
久しぶり?にハイエンドモデルをリリースした、イギリスに拠点を置くテクノロジーメーカーNothing(ナッシング)。『Phone(3)』では、同ブランドの象徴となる『Glyphインターフェース』を大きく刷新。
従来の『LEDライトの光り方で通知を表す』方式は斬新で楽しいですが、『分かりやすさ』で言えばイマイチな部分も。
新たに(背面右上)備えられた『Glyphマトリックス(489ドットLEDのミニディスプレイ)』では、さらなる遊び心と『分かりやすさ』をプラス。背面カメラのサブディスプレイ(Glyphミラー)としても使えるのは驚き(高画質で自撮り出来る)。
リアカメラには『ペリスコープ(望遠)カメラ』を導入。引き寄せて撮れるのは勿論のこと、『マクロ』『ポートレート』にも対応。小さな被写体を臨場感たっぷりに撮影出来ます。
メイン(広角)カメラは手ぶれ補正性能が大きく向上。『4K/60FPS』で歩きながら撮影した動画は、まるで『ジンバル』を使っているかのよう。
この記事ではNothing Phone(3)の実機を使った様々な詳細レビュー(長所から短所まで)を行っているので、購入を検討している人は『気になるポイント』がきっと見つかるはず。参考になれば幸いです。

【Nothing Phone (3)の電池もち】は『やや良い』部類
YouTubeで同じ動画を約90分間再生して電池がどの程度減るか(実機検証結果)
※画面の明るさは照度計で50LUX程度に合わせています。
| 端末名 | 画面サイズ(解像度) | 電池容量 | 減った電池量 |
| CMF Phone 2 Pro | 6.77インチ(2,392×1,080px) | 5,000mAh | -6% |
| Nothing Phone(2) | 6.7インチ(2,412×1,080px) | 4,700mAh | -6% |
| Nothing Phone(3a) | 6.77インチ(2,392×1,080px) | 5,000mAh | -6% |
| Nothing Phone(3) | 6.67インチ(2,800×1,260px) | 5,150mAh | -6% |
| POCO F7 Ultra | 6.67インチ(3,200×1,440px) | 5,300mAh | -6% |
| POCO X7 Pro | 6.67インチ(2712 × 1220px) | 6,000mAh | -9% |
| Xiaomi 13T Pro | 6.7インチ(2,712×1,220px) | 5,000mAh | -10% |
| Xiaomi 14T Pro | 6.67インチ(2712 × 1220px) | 5,000mAh | -8% |
| Xiaomi 14 Ultra | 6.73インチ(3,200×1,440px) | 5,000mAh | -8% |
| Xiaomi 15 Ultra | 6.73インチ(3,200×1,440px) | 5,410mAh | -4% |
| Pixel 7a | 6.1インチ(2,400×1,080px) | 4,385mAh | -9% |
| Pixel 9a | 6.3インチ(2,400×1,080px) | 5,100mAh | -7% |
| Pixel 8 | 6.2インチ(2,400×1,080px) | 4575mAh | -8% |
| OPPO A79 5G | 6.72インチ(2,400×1,080px) | 5,000mAh | -6% |
| OPPO Reno9 A | 6.4インチ(2,400×1,080px) | 4,500mAh | -6% |
| OPPO Reno11 A | 6.7インチ(2,412×1,080px) | 5,000mAh | -6% |
| OPPO Reno13 A | 6.7インチ(2,400×1,080px) | 5,800mAh | -5% |
| OPPO Find X8 | 6.6インチ(2,760×1,256px) | 5,630mAh | -5% |
| moto g24 | 6.6インチ(1,612×720px) | 5,000mAh | -7% |
| moto g66j 5G | 6.7インチ(2,400×1,080px) | 5,200mAh | -7% |
| AQUOS sense8 | 6.1インチ(2,432×1,080px) | 5,000Ah | -4% |
| AQUOS wish4 | 6.6インチ(720×1,612px) | 5,000mAh | -4% |
| AQUOS sense9 | 6.1インチ | 5,000mAh | -5% |
Nothing Phone(3)でYouTube動画(1080p)を約90分間再生し、減った電池の量は前モデルと変わらない『-6%』程度。世代交代に伴い、電池容量は4,700mAhから『5,150mAh』へと増量。他メーカーのスマートフォンと比較して(画面サイズと電池容量を考慮)、Nothing Phone(3)の電池もちは『やや良い』部類に入ります。
屋外など高輝度環境で長時間利用する際には注意。電池もちを優先するなら画面やバッテリー設定の調整を
Nothing Phone(3)はディスプレイの最大輝度が高め(屋外輝度1,600nit)。長時間高輝度な状態を維持していると、その分電力消費が大きくなり電池の減りが早く。
電池もちを優先する場合は、『明るさの自動調節(昼間の屋外など明るい場所では消費電力が上がる)』『画面消灯時間:短め(15〜30秒)』『ディスプレイのリフレッシュレート:標準(60Hz)』『HDRディスプレイ:OFF』『バッテリーセーバー:ON(ダークモード)』『自動調整バッテリー:ON』『スリープスタンバイの最適化:ON』などの設定を行いましょう。

【Nothing Phone (3)の充電速度】は有線が高速!ワイヤレスでも実用的な速度を維持。Bluetooth機器への給電にも対応
汎用的なPPS対応充電器で15分充電して電池残量+29%

Nothing Phone(3)には充AC充電器が付属しません(USBケーブルは同梱)。推奨されている充電器は『Nothing純正品』もしくは『PPS充電プロトコル(USB PDの拡張規格)』に対応するもの。
最大充電速度(有線)は『65W』。汎用的なUGREENのAC充電器(最大65W出力/PPS対応)を使用して約15分間充電したところ、電池残量は『約29「%』増えました。ストレスを感じない程度の十分な速さです。
| 端末名 | 充電時間(有線) | 増えた電池残量 |
| Pixel 9a | 約15分間 | +18% |
| moto g66j 5G | 約15分間 | +22% |
| CMF Phone 2 Pro | 約15分間 | +24% |
| Nothing Phone(3a) | 約10分間 | +20% |
| Nothing Phone(3) | 約15分間 | +29% |
| POCO F7 Ultra | 約10分間 | +34% |
| Xiaomi 14T Pro | 約10分間 | +48% |
ワイヤレス充電効率化!MagSafe対応ケースを購入する場合は『マグネットの位置』に注意
Nothing Phone(3)はワイヤレス充電(最大15W)に対応し、コイルはGlyphボタンを囲むように設置。MagSafe化するケースも販売されていますが、一部は『マグネットの位置がズレている』ので注意が必要です。

私が購入したのはコチラのケース。『マグネットがGlyphボタンを囲んでいる』のが選んだポイント。MagSafe化目的でしたが、ケース自体良好なクオリティ(背面デザインが隠れてしまうのは惜しい)。


以前Amazonで購入した汎用的なワイヤレス充電スタンドを使用して約10分間充電すると、増えた電池残量は『+8%』。ワイヤレスの速度にしては必要十分。マグネットの位置が『合っている』ということですね。
他社モバイルバッテリー(Xiaomi 165W Power Bank 10000mAh)との相性も抜群
搭載ケーブルが最大『120W』の出力に対応するモバイルバッテリー『Xiaomi 165W Power Bank 10000mAh』。Phone(3)を約10分間充電すると電池残量『+21%』。50W近い出力が維持されており、他メーカーの製品ながら相性抜群。
充電しながら端末を利用すると、温度上昇により充電速度や処理能力が落ちて非効率です。Xiaomi 165W Power Bank 10000mAh×Phone(3)の組み合わせなら、外出先でも短時間で素早く充電完了。高いパフォーマンスを維持してくれます。

Bluetoothイヤフォンケースなどを充電出来るバッテリー共有機能
バッテリー共有(設定→バッテリーから)をONにすると、ワイヤレス充電に対応するデバイスへの給電が可能に(デバイスを検出しない場合は自動OFF)。Phone(3)のバッテリー残量が30%〜50%に達した時点で、共有機能を停止する設定も用意されています。

背面の充電コイル付近に対応アクセサリーを置くと自動的に充電開始。
【Nothing Phone (3)のリアカメラ画質】は全体的に『解像感』高め。ペリスコープ(望遠)カメラが『高倍率』『マクロ』『ポートレート』に大活躍!動画撮影時の『手ブレ補正』も優秀
Nothing Phone(3)の主な背面カメラ仕様
| 端末名 | Nothing Phone(3) |
| メイン(広角)カメラ | 解像度:5,000万画素 焦点距離:24mm F値:1.68 イメージセンサーサイズ:1/1.3インチ 手ブレ補正:電子式+光学式 オートフォーカス:全画素・全方向位相差AF センサー内ズーム:2倍 |
| ペリスコープカメラ | 解像度:5,000万画素 焦点距離:70mm F値:2.68 イメージセンサーサイズ:1/2.75インチ 手ブレ補正:電子式+光学式 光学ズーム:3倍 センサー内ズーム:6倍 Ultraズーム:60倍 |
| 超広角カメラ | 解像度:5,000万画素 焦点距離:15mm F値:2.2 イメージセンサーサイズ:1/2.76インチ 視野角:114度 |
Nothing Phone(3)のメインカメラは、『1/1.3インチ』の大型イメージセンサー、『F1.68』の大口径レンズといったハイエンドらしい構成。手ブレ補正は『電子式』『光学式』のデュアル仕様。
また『全画素・全方向位相差』対応のオートフォーカスを採用しており、1枚のマイクロレンズで隣接する4画素(2×2)をカバー。合焦可能エリアが100%となり、低照度環境においてもピントを合わせやすく。
望遠はついに『ペリスコープ方式』を採用。物理的な『光学ズーム3倍』を実現しており、センサー内ズームと補正処理を組み合わせたUltraズームの最大倍率は『60倍』。メーカーによって異なる高倍率時の補正処理。Nothing最上位モデルの仕上がりに注目。
ペルスコープカメラは『マクロモード』をサポートしており、約15cm離れた位置から『3倍(70mm相当)』『6倍(140mm相当)』で撮影が可能。遠くから近くまで自由自在に撮りこなします。
直感的で扱いやすくカスタマイズ性にも優れるNothingのカメラアプリ
Nothing OSと同様に、無駄がなく直感的で扱いやすいNothing Phone(3)のカメラアプリ。写真撮影時のメニューは『フラッシュ』『タイマー』『HDR』『露出』『フィルタ』『モーション』『品質(解像度)』『グリッド』『比率』『スタンプ』『Glyphミラー』『その他設定』。

動画撮影時は『フラッシュ』『グリッド』『HDR』『録画ランプ表示』『Glyphミラー』『その他設定』に変わります。

GlyphミラーをONにすると背面カメラで自撮り出来る

アップデートで追加された『Glyphミラー』は、Nothing Phone (3)の背面『Glyph Matrix(489ドットLED)』に背面カメラのライブビューをミラー表示。『表情』までは認識出来ませんが、『位置』が分かるので背面カメラで自撮りが可能に。これは面白い試み。
LUTを読み込んで自分だけのオリジナルフィルタを作成可能
『フィルタ』は用意されたエフェクト効果を選択出来るだけでなく、LUT(.CUBE)データを読み込んで独自のフィルタを作成することも。

作成したカスタムフィルタを『プリセット』に組み込めば、自分の好きな『色合い』『カメラ設定』をいつでも簡単に適用出来ます。

『フィルタ』『プリセット』の設定(追加)方法は下記の記事を参考にしてください。

【写真作例】Nothing Phone(3)の『超広角』『広角(メイン)』『ペリスコープ(望遠)』カメラ画質を比較(同じ場所で撮影)
Ultra XDR:ON、HDR:オート、フィルタ:オリジナル、自動色調補正:OFF、フラッシュ:OFF
超広角カメラで撮影




広角(メイン)カメラで撮影




ペリスコープ(望遠)カメラで撮影




【写真作例・評価】Nothing Phone(3)の超広角カメラで撮影(風景)







超広角カメラの画質評価
解像感(細部のシャープさ)
評価:4.4/5
中心部は非常にシャープで遠景の建物や木の葉まで精細に描写。手前から奥までのピント感も良好。ただし、低コントラスト領域(芝生や影の部分)でわずかに解像感が落ちる傾向あり。
歪み補正(直線の保持力)
評価:4.5/5
直線が多い都市シーンでも極端な湾曲はなく、建物の縦線・横線は比較的自然に保持。広角らしい引き込み効果は残しつつ、不快な歪みが目立たないレベルに収まっている。
周辺描写(画面端の解像と流れ)
評価:4.1/5
周辺部の流れや解像感の甘さは一部で確認できるが、許容範囲内。芝生や細かい草のディテールが端でやや潰れるケースがある。
ダイナミックレンジ(明暗の表現幅)
評価:4.6/5
白飛び・黒潰れが少なく、雲のディテールや暗部の建物の質感をしっかり保持。HDR処理が自然で、違和感のない描写。
色再現(発色の自然さ)
評価:4.4/5
空の青や緑の発色がナチュラルで派手すぎないバランス。赤い電車や建物の色も正確で、シーンに応じた適度なコントラストが出ている。
総合評価
評価:4.4/5
Nothing Phone(3)の超広角カメラは『中心部の解像感』と『HDR性能』が強み。歪み補正も自然で超広角特有のクセが少ない。弱点は周辺部の解像感と低コントラスト部分の描写。全体としてハイエンドらしい実力を持っており、風景撮影や都市撮影に非常に適したレベル。
【写真作例・評価】Nothing Phone(3)の広角(メイン)カメラで撮影(風景)















メイン(広角)カメラで撮影した写真(風景)の画質評価
解像感(細部のシャープさ)
評価:4.6/5
建物のディテール、ステンドグラス、花びらの繊毛まで緻密に再現。拡大しても情報量が多く、フラッグシップクラスの解像性能。暗部でもディテールの損失は少ない。
色再現(発色の自然さ)
評価:4.5/5
空の青、草木の緑、花の色などが自然で派手すぎない。屋内照明の暖色表現も忠実。全体的にナチュラル寄りで後編集のベースにも適している。
ダイナミックレンジ(明暗差への強さ)
評価:4.4/5
逆光シーンや空と建物のコントラストでも白飛び・黒潰れが抑えられている。HDR処理は自然で破綻感が少ない。ただし強烈な逆光では若干の白飛びが発生。
レンズ特性(歪み・色収差など)
評価:4.3/5
歪みは良好に補正され、直線がきれいに再現。周辺部でも大きな流れは見られない。強い光源を含むシーンでは軽微なパープルフリンジが確認できる程度。
ボケ表現(背景のぼかし・立体感)
評価:4.2/5
被写体と背景の距離を活かせば自然なボケが得られる。花やランプなど近接撮影では立体感が強調される。ただしスマホ特有の『均一で平面的なボケ』が一部で見られる。
総合評価
評価:4.4/5
Nothing Phone(3)のメイン(広角)カメラで撮影した風景写真は、『細部解像感』と『自然な色再現』が強み。HDR処理もバランス良く、逆光や屋内外問わず安定感がある。ボケは自然だが、一眼的な奥行き感ではややスマホらしさが残る。総じてフラッグシップ機の標準を十分に満たす性能であり、風景・建築・物撮りからポートレートまで幅広く対応できる完成度。
【写真作例・評価】Nothing Phone(3)の広角(メイン)カメラで撮影(食べ物)














メイン(広角)カメラで撮影した写真(食べ物)の画質評価
解像感(細部のシャープさ)
評価:4.5/5
食材の質感(刺身の繊維、果物の水分、焼き魚の皮のパリッと感)がしっかり描写されている。拡大しても情報量が多く、皿の模様や小物も精細。
色再現(発色の自然さ)
評価:4.6/5
野菜の緑や魚介の赤、デザートの鮮やかな色合いが自然で美しい。派手に盛られすぎず、肉眼に近い仕上がり。料理写真として非常にバランスが良い。
ダイナミックレンジ(明暗差への強さ)
評価:4.4/5
照明の反射やグラスのハイライトも白飛びせずに残っている。暗部の階調も豊かで、料理の立体感に貢献。ただし強い光源下ではわずかに反射が強調される場合あり。
レンズ特性(歪み・色収差など)
評価:4.3/5
被写体を際立たせるボケが自然で、料理が引き立つ。スマホらしい均一なボケ感はあるが、主題を邪魔せず効果的。接写時の立体感も良好。
ボケ表現(背景のぼかし・立体感)
評価:4.2/5
被写体と背景の距離を活かせば自然なボケが得られる。花やランプなど近接撮影では立体感が強調される。ただしスマホ特有の『均一で平面的なボケ』が一部で見られる。
総合評価
評価:4.4/5
Nothing Phone(3)のメイン(広角)カメラは料理撮影に非常に適しており、食材の質感をしっかり再現できる解像力を持つ。『自然でバランスの良い色表現』『反射や明暗差にも強いHDR性能』が大きな強み。唯一の弱点は『周辺部のわずかな解像感低下』と『ボケの均一さ』で、一眼レフのような奥行き感には一歩及ばない。
【写真作例・評価】Nothing Phone(3)のペリスコープ(望遠)カメラで撮影















ペリスコープ(望遠)カメラで撮影した写真の画質評価
解像感(細部のシャープさ)
評価:4.7/5
遠距離の被写体(建築物の文字、花弁、昆虫の羽)まで精細に描写。望遠レンズらしい情報量がしっかり出ています。わずかにエッジ強調を感じる場面もありますが、スマホとしてはトップクラス。
色再現(発色の自然さ)
評価:4.2/5
空や花の色は鮮やかで発色良好。特に緑や赤は少し強めに出ており、肉眼よりも『映える』方向にチューニングされている印象。ただ不自然さまではいかない。
ダイナミックレンジ(明暗の階調表現)
評価:4.3/5
屋外の強い日差し下でも白飛びは少なく、シャドウも十分に粘りあり。ハイライトの階調も自然に残っており、HDR処理も違和感が少ない。
ボケ表現(背景の自然さ)
評価:4.5/5
望遠光学ズーム効果によって、花や昆虫などの被写体が背景から綺麗に分離。被写界深度の浅さが自然に表現され、被写体の立体感が強調されている。
ノイズ・処理感(ノイズ量・補正の不自然さ)
評価:4.6/5
十分な光量のもとではノイズはほぼ感じられない。質感も残っており、スマホカメラにありがちな塗り絵感は最小限。処理の自然さは高評価。
総合評価
評価:4.5/5
Nothing Phone(3)のペリスコープ(望遠)カメラは 日中の描写が非常に優秀。 遠景の解像感と被写体分離が大きな強み。 発色はやや映える方向に寄っているが、風景や花の撮影に適した仕上がり。 HDR処理やノイズリダクションも自然で、スマホ望遠の弱点が目立たない。
【写真作例・評価】Nothing Phone(3)のペリスコープ(望遠)カメラで撮影(マクロモード)













ペリスコープ(望遠)カメラで撮影した写真(マクロモード)の画質評価
解像感(細部のシャープさ)
評価:4.5/5
被写体の花弁や苔、昆虫のディテールまで非常に精細に捉えられており、スマホカメラとしては高い解像力。中心部は特にキレがあり、毛先や花粉の粒子感まで再現できている。ただし、画面端ではわずかに甘さが出るカットもあり。
色再現(発色の自然さ)
評価:4.3/5
花や植物の彩度は高めで鮮やかに表現。特に紫系や黄色の再現が美しく、視覚的なインパクトがある。一方で、一部の場面ではやや彩度が強調されすぎ、自然観を少し損なう印象も。
ダイナミックレンジ(明暗の階調表現)
評価:4.0/5
マクロ撮影はコントラストが強くなりやすいが、ハイライトの粘りや影の階調再現は十分良好。背景の白飛びや暗部つぶれは抑えられているが、強い直射日光下では花弁の反射がやや飛び気味に。
レンズ特性(歪み・色収差など)
評価:4.2/5
ペリスコープカメラらしく歪みは非常に少なく、被写体を素直に切り取れている。色収差もほとんど目立たない。接写時の周辺減光がわずかに見られる程度。
ボケ表現(背景のぼかし・立体感)
評価:4.6/5
望遠マクロの強みが発揮され、被写体の立体感が際立っている。背景はスムーズに溶けており、被写体が浮き上がるような描写。人工的な処理感も少なく、自然で高級感のあるボケが得られている。
総合評価
評価:4.5/5
Nothing Phone(3)のペリスコープ(望遠)カメラは、非常に完成度の高いマクロ撮影性能を持つ。解像感とボケの両立に優れ、昆虫や花などの細部表現に強みがある。色の鮮やかさは魅力的だが、ナチュラルさを重視する場合には彩度が少し強めに感じる場面も。そこが唯一の弱点。
【写真作例】Nothing Phone(3)の広角(メイン)/ペリスコープ(望遠)カメラで撮影(同じ被写体を異なる倍率で撮影して画質を比較)
等倍画像(24mm相当)

バランスが良く最も自然。記録性に優れる(50mm相当)
全体の景観を自然に収め、建物や山並みもバランス良く描写。発色も落ち着いており、最も自然な一枚。

スナップ用途に最適な焦点域。安定感のある画質(70mm相当)
展望台がしっかり視認でき、切り取りとしてちょうど良い距離感。解像感と発色の安定感がある。

望遠らしい切り取り感。ただし処理感が見え始める(140mm相当)
展望台のディテールが明確になり、主題性が増す。やや処理感は出るが、望遠らしい立体感がある。

本格的な望遠らしい描写。SNS投稿やトリミング耐性が高い(240mm相当)
ペリスコープの本領が発揮され、建物の骨格まで明瞭。解像感と情報量が豊富で最も見応えのある画。

高倍率ゆえの制約を感じるが、記録性は十分。(472mm相当)
細部の描写は保たれているが、やや滲みが見え始める。望遠らしい迫力は十分で、実用性も高い。

デジタルズーム領域では限界が顕著。解像感より『見えること』を優先する使い方(700mm〜1,400mm相当)
建物の形状は把握できるが、細部は甘く質感が損なわれる。高倍率らしい『見える』ことが強み。倍率が上がるほどノイズ処理感が強くなり立体感も薄れる。




【写真作例】Nothing Phone(3)のポートレートモードで撮影
Nothing Phone(3)のポートレートモードは、『24mm』『50mm』『70mm』『100mm』と4段階で焦点距離を切り替えることが可能。
いずれも被写体をしっかり浮かび上がらせることに成功しており、スマートフォンのポートレートモードとして高い完成度を確認。鳩の石像では広角から中望遠まで自然なボケの表現が確認でき、背景との分離感が強調されることで被写体の質感が際立っている。70mmから100mmにかけては望遠の効果も加わり、立体感と解像感のバランスが非常に良好。




室内撮影の小型フィギュアは、被写体のエッジ処理が正確で人工的なボケの違和感も最小限に抑えられている。背景処理の滑らかさも自然で、特に光沢面に置かれた被写体がクリアに描写され、商品撮影的な用途にも十分耐えられる仕上がり。小さな被写体をダイナミックに描写出来るのは『ペリスコープカメラ』ならでは。


【写真作例】Nothing Phone(3)の超広角/広角(メイン)カメラ(夜間モード)で撮影した静止画
超広角カメラで撮影した夜景




超広角カメラの夜景モード画質評価
解像感・ディテール再現
評価:3.3/5
中央部は比較的シャープだが、周辺部は流れや解像低下が見られる。暗所ではノイズリダクションが強くかかり、細部がやや潰れやすい。
色再現・ホワイトバランス
評価:4.1/5
夜景下でも極端な色かぶりが少なく、全体的に安定したトーンを維持。街灯光は自然に処理されているが、寒色寄りの傾向が残る。
ダイナミックレンジ(HDR性能)
評価:3.9/5
街灯やネオンなど強い光源を含んでも暗部をある程度描写可能。白飛びはやや残るが、スマホ超広角としては優秀な部類。
ノイズ処理・暗所耐性
評価:3.2/5
ノイズはよく抑制されているが、その代わりに塗り絵感が出やすい。暗部のディテール保持力は専用の大型センサー搭載機種に劣る。
レンズ性能・超広角特性
評価:4.0/5
歪曲補正が効いており直線も比較的自然。超広角らしいダイナミックな構図が可能。周辺部の光量落ちや解像度低下は見られるが、実用上は十分に抑え込まれている。
総合評価
評価:3.7/5
イメージセンサーサイズやレンズの特性上、画質が劣化しやすいスマートフォンの超広角カメラ夜景性能としては上位評価。解像感や暗所のテクスチャ保持はまだ課題だが、色再現・HDRの安定性は良好。実用性と見栄えのバランスを取った性能と言える。
広角(メイン)カメラで撮影した夜景






広角(メイン)カメラの夜景モード画質評価
解像感・ディテール再現
評価:4.3/5
舗装路面の細かな質感や建物の窓の描写が鮮明で、鉄道レールや砂利の輪郭もよく残っている。被写体の立体感も確保できており、スマホとしては高解像。
色再現・ホワイトバランス
評価:4.2/5
街灯・室内灯・ネオンなど異なる光源が混在しても極端な色かぶりが少なく、安定した色表現。ややクール寄りの傾向はあるが、夜景の雰囲気を損なわない。
ダイナミックレンジ(HDR性能)
評価:4.1/5
街灯直下やビル窓の光飛びは最小限に抑えつつ、暗部も比較的しっかり描写。空の階調も残っている。ただし強光源周辺にわずかなハロが見られる。
ノイズ処理・暗所耐性
評価:3.8/5
暗部ノイズは少なく、全体としてクリア。ただし高感度領域ではディテールがやや平坦化し、コンクリートや壁面に『のっぺり感』が出る部分がある。
レンズ性能・描写特性
評価:4.2/5
周辺部の解像度低下や光量落ちは少なく、画面全域で安定した描写。超広角に比べ歪みが少なく自然なパース。開放F1.7を活かした光量確保も良好。
総合評価
評価:4.1/5
メインカメラは夜景撮影において『 安定性』『解像力』『色の正確性』 がバランス良く備わっている。特に建物や線路など直線的な被写体をしっかり描写できており、日常夜景スナップなら十分に満足できる画質。 改善の余地としては、暗部のテクスチャ保持と強光源周辺の処理。これが改善されれば『スマホ夜景撮影の完成度』がさらに上がる。
【動画作例・評価】Nothing Phone(3)のカメラで撮影
ズームアップされた映像(0:00〜0:37, 2:09〜3:08, 3:17〜3:37)

- 詳細度とシャープさ:
- メインの被写体(花や蜂、蝶)は非常にシャープで、花びらのテクスチャや昆虫の細かい毛までしっかりと捉えられている。これは、メインカメラの高い解像度と優秀なフォーカス性能を示している。
- 特に0:30からの蜂のクローズアップは、細部が素晴らしく、動く被写体への追従性も高い。
- 2:49からの白とピンクのコスモスのクローズアップは、花びらの繊細なギザギザまで鮮明に映っており、画質の高さが際立っている。
- 色とダイナミックレンジ:
- 色は鮮やかで、特にピンクや紫が豊かな色合いで表現。
- 明るい屋外の日差しの中でも、白飛びや黒つぶれが少なく、ダイナミックレンジが広いことが確認できる。
- ボケ感(背景のぼかし):
- クローズアップでは背景が美しくぼけており(自然なボケ)、被写体を際立たせる効果が非常に高い。これはスマートフォンとしては非常に優れており、ポートレート動画にも適していることを示唆。
広範囲を映した映像(0:38〜0:51, 1:13〜1:32, 2:38〜2:48, 3:38〜3:59)

- 手ブレ補正(スタビライゼーション):
- 歩きながらの撮影にもかかわらず、映像の揺れが非常に少なく、滑らか。これは強力な電子式手ブレ補正(EIS)または光学式手ブレ補正(OIS)が効果的に機能していることを示している。スマートフォンでの移動撮影としては、非常に安定している。
- 解像度とフレームレート:
- 4K解像度で60フレーム/秒という高い設定ながら、動きのあるシーンでも非常に滑らかで詳細な映像が得られている。
- 遠景の描写:
- 遠くの山や建物のディテールもクリアに保たれており、風景撮影でも十分な性能を発揮。
街中・鉄道の映像(0:52〜1:12, 1:43〜2:02, 3:09〜3:16)

- ダイナミックレンジ:
- ビル街の映像(3:09〜)では、明るい空と影になった路面や建物が混在しているが、両方のディテールが比較的よく保たれており、HDR(ハイダイナミックレンジ)処理が適切に行われていることが分かる。
- 動きのある被写体:
- 電車が通過するシーン(0:52〜)は、高速で移動する被写体をブレなく高精細に捉えており、60fpsでの撮影の強みが出ている。
総合評価
Nothing Phone (3)のカメラは、動画撮影において特に以下の3点が際立っていると言えます。
- クローズアップ時の高画質: 自然なボケ味、高いシャープネス、鮮やかな色再現性で、マクロ的な表現力が高い。
- 強力な手ブレ補正: 4K/60fpsという高負荷な設定でも、歩行中の映像が非常に安定しており、日常のVlog撮影などにも十分対応。
- 優れたダイナミックレンジ: 明暗差の大きいシーンでも幅広い階調を表現できており、映像全体に深みを与えている。
改善点として考えられるポイント
Nothing Phoneシリーズのカメラはソフトウェア処理に起因するシャープネスの強調や不自然なノイズリダクションが指摘されることがある。今回の動画は全体的に高画質だが、特にコントラストの強い部分や暗い部分のシャープネスがやや強調されていると感じる(風景や建物のエッジなど)。この部分は好みが分かれるかもしれない。

【Nothing Phone (3)のフロントカメラ画質】5,000万画素の豊かな解像感とナチュラルな肌色を得られる
逆光下でもHDRが安定して自然な色再現と解像感を得られる。ポートレートモードはSNS向けに遊び心をプラス



Nothing Phone(3)のフロントカメラは『5,000万画素』の高解像度撮影に対応。自然な色再現と十分な解像感を備え、逆光でも顔がしっかり描写されるなどHDR性能も安定。ポートレートモードではボケが星型になる『PENTACLE』を適用。SNSに掲載する画像を撮影する時などに有効(ただし合成感は強めになる)。
安定した映像画質に良好なマイク音質。ビデオ会議を円滑に進められるツール
室内の照明を点けて、Googleのビデオ会議サービス『Meet』の動作を確認。画質は特に問題なし。2台のスマートフォンを使用した『音声テスト』では、3台のマイクを搭載している影響か『クリア』な印象を受ける(マイクホールは上と下に2つ確認)。ビデオ通話やWEB会議に適した端末。



【Nothing Phone (3)のベンチマークスコア】『AnTuTu Benchmark』『Geekbench 6』『3DMark(Wild Life Stress Test)』実測結果まとめ
【実測】Nothing Phone(3)、Nothing Phone(2)、Nothing Phone(3a)、CMF Phone 2 ProのAnTuTu Benchmarkスコア(Ver.10.5.2)
| AnTuTuスコア目安 | 性能レベル | 適した使い方(参考程度) |
|---|---|---|
| 〜40万程度 | 一般的なエントリークラス | 通話・LINE・読書・軽いWeb検索程度。ゲームやカメラ処理は厳しい |
| 40万〜65程度 | エントリークラス上位〜下位ミドルクラス | SNS、動画視聴、ナビ、ライトなゲームはストレスを感じない程度 |
| 65万〜90万程度 | 一般的なミドルクラス | 日常利用はスムーズで快適。動画・写真の処理も比較的はやい。グラフィック設定中程度で3Dゲームも遊べる |
| 90万〜130万程度 | 上位ミドルクラス | 3Dゲーム、写真編集、AI(オンデバイス)などを行える |
| 130万〜200万程度 | ハイエンド | 負荷の重い3Dゲームも安定的にこなす。ヘビーユーザー向き |
| 200万〜 | 超ハイエンド | 最高峰の性能。ゲーミングスマホやフラッグシップ級 |
室温30度程度の室内で検証。テストする環境やOSのバージョンによって数値は異なる場合あり。




Nothing Phone 2(Snapdragon 8+ Gen 1) のAnTuTu Benchmark(V10.5.2)スコア実測結果(左から1回目、2回目、3回目)


Phone(3)先代となるNothing Phone(2)が日本市場で発売されたのは2023年7月。一般的には1年ごとに実施されるモデルチェンジ。Phone(3)では実質2世代分のアップデートが行われたことになり、その結果が数値にしっかりと表れています。
Phone(2)からは『CPU』『GPU』『MEM』『UX』がすべて大幅に上昇。Nothingが直近でリリースしている『Phone(3a)』『CMF Phone 2 Pro』といったミドルクラスのスマートフォンとは2倍以上のトータルスコア差。

2回目、3回目でGPUのスコアをやや落としていますが、スマートフォンの脳となり総合的なデータの演算処理を担う『CPU』、アプリの動作速度を示す『UX』は3回連続で安定。
CPU性能の高いモデルはOSやアプリを快適に使える実質的な期間が長くなり、買い替えサイクルを伸ばすことが可能です。ちなみにPhone(3)は、発売開始から『5年間』のAndroidアップデート、『7年間』のセキュリティアップデートが保証されています。
実測時の電池の減り方にも注目。スコアの近い『POCO X7 Pro』『Xiaomi 14T Pro』『Xiaomi 14 Ultra』は、AnTuTu Benchmark測定時の電池の減りが『-6〜-10%』。対してPhone(3)は『-4〜-7%』。ハイスコアを維持しつつ電池の減りが少ないのは、『電力効率が高い』ということです。
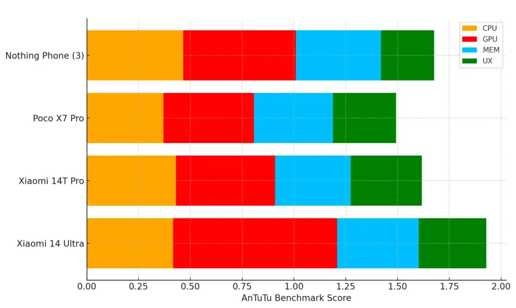
【実測】Nothing Phone(3)に近い性能を持つスマートフォンのAnTuTu Benchmarkスコア実測値(ver.10.5.2)
全端末室温30度程度の室内で検証。テストする環境やOSのバージョンによって数値は異なる場合あり。



3回連続でAnTuTu Benchmarkを実測して『3回目』のスコア。テストする環境やOSのバージョンによって数値は異なる場合あり。

【実測】Nothing Phone(3)のGeekbench6(CPU)スコア


室温30度程度の室内で検証。テストする環境やOSのバージョンによって数値は異なる場合あり。

Nothing Phone(3)のGeekbench 6(CPU)スコアは単体の処理能力を示すシングルコアスコアが『2,108』。総合力を示すマルチコアは『6,548』。先代モデル(Phone 2)からはマルチコア性能が特に向上しています。
『Xiaomi 14 Ultra』『Xiaomi 14T Pro』といったハイエンドに匹敵する数値で、『Nothingブランド最上位モデル』のパフォーマンスとして不足なし。動作速度に不満を感じたことは、今のところありません。
【実測】Nothing Phone(3)の3DMark Wild Life Stress Testスコア

1回目のベストループスコアは『15,962』で最大フレームレートは『120FPS』。20回中最低ループスコアは『10,464』。Dimensity 9300+を搭載するXiaomi 14T Proをトータルで上回っています。

ただし最大温度は『49度』まで上昇。長時間高負荷な状態が続くとスロットリング(性能低下)の発生する可能性が高まるので、安定性を重視するならグラフィックをやや控えめに設定しましょう。
もっとも、3DMark Wild Life Stress Testは『GPUに負荷をかけ続けること』が目的。通常負荷が重い3Dゲームはシーンによって波があるので、同様の状況は『存在しない』と言っても過言ではありません。最悪条件での持久力テストを20回連続で行い、『65.6%程度のパフォーマンスを維持』というのが今回の検証結果です。
Nothing Phone(3)のゲーム推奨設定(参考程度)
| ジャンル | 解像度 | フレームレート | グラフィック品質 | エフェクト / 陰影 |
|---|---|---|---|---|
| 超重量級RPG(原神 / 崩壊: Star Rail / Tower of Fantasy) | FHD+ | 60fps固定 | 中〜高 | 中 |
| FPS / TPS(PUBG Mobile / Apex / COD Mobile) | FHD+ | 60fps〜90fps推奨(120fpsは短時間のみ可) | HD〜HDR相当 | 中 |
| MOBA / 格闘 / カジュアル(LoL: Wild Rift / 荒野行動 / モンスト等) | FHD+ | 60fps固定 | 高 | 中 |
| エミュレーション(PS2 / Switch等) | FHD+(スケーリング1.0〜1.3倍程度) | 60fps上限 | 中 | - |
| レース / スポーツ(Asphalt / eFootball等) | FHD+ | 60fps〜90fps推奨 | 中〜高 | 中 |
| バトルロイヤル長時間プレイ | FHD+ | 60fps安定設定 | 中 | 低〜中(発熱抑制目的) |
【Nothing Phone (3)のデザイン(見た目)】所有欲を満たしてくれるNothingプロダクト。計算され尽くしたレイアウトがスマホの新境地を開く
未来的な見た目でありながらサステナビリティ。Glyphインターフェースの刷新や独特なレンズ配置が新世代感を強める
Nothingはサステナビリティ(持続的な環境配慮)を意識したメーカーです。Phone(3)の『フレーム』『ボタン』『SIMトレイ』には100%再生アルミニウム素材を使用。


背面デザインはおなじみのスケルトン仕様。Glyph Interfaceが右上のディスプレイに集約されたので、全体的に見た目のイメージが刷新。異なるバラバラのパーツを、芸術的にバランス良く散りばめています。


レンズの凹凸を『目立たなく』しようとするメーカーが増える中、Nothing Phone(3)ではあえて強調。ペリスコープレンズが1段低い高さになっており、位置的にも独立。これでバランスがとれているのだからまさに『アート』です。

ケース無しの状態で背面を下にして机などに置くと、レンズに接する可能性が高いのでその点は注意しましょう。

ディスプレイのベゼル幅はPhone(2)より明確に狭くなっており没入感が向上。表示スペースが横に広がったような印象を受けます。


筐体サイズは『高さ:160.60mm』『幅:75.59mm』『厚さ:8.99 mm』。幅と厚みに関しては難なく片手もちを出来る程度ですが、重さが『218g』とそれなり。『軽さ重視』の人には不向きな端末ですね。

ブラックのスケルトンボディはスーツスタイルに違和感なくフィット。上部に集約されたメインパーツが『Nothingブランド』の主張を強めているように感じます。

Nothingアイコン適用でホーム画面をクールにカスタマイズ
Nothing Phone(3)では、モノクロ配色がクールな『Nothingアイコンパック』を利用することが出来ます。初期のころはカラーとモノクロが混在してチグハグな感じでしたが、現状では『Rakuten Link』『LINE』『Kindle』『Gemini』『Send Anywhere』まで幅広いアプリがグレースケールで統一(恐らく自動的に単色化)。専用のウィジェットも用意されています。

Nothing Phone(3)に近い画面サイズの端末重量
Nothing Phone(3)の重量は『約218g』。ペリスコープ(望遠)カメラが追加されているので、その分物理的に重くなっているのは仕方のないこと。Nothingで『軽さ』を重視するならCMF Phone 2 Proが第一候補。ただし性能がミドルクラスなので、Phone(3)のように全方位でパワフルな使い方は出来ません。
| 端末名 | 画面サイズ | 重量 |
| Xiaomi 14T Pro | 約6.67インチ | 約209g |
| POCO X7 Pro | 約6.67インチ | 約195g(プラスチック)/198g(PU) |
| POCO F7 Ultra | 約6.67インチ | 約212g |
| Nothing Phone(3) | 約6.67インチ | 約218g |
| CMF Phone 2 Pro | 約6.77インチ | 約185g |
| Nothing Phone(3a) | 約6.77インチ | 約208g |
| Galaxy S25 Ultra | 約6.9インチ | 約218g |
| Pixel 9 XL | 約6.8インチ | 約221g |
| Xiaomi 15 Ultra | 約6.73インチ | 約226g |
| AQUOS R9 Pro | 約6.7インチ | 約229g |
【Nothing Phone (3)の画面】狭ベゼル化で没入感が増した発色豊かな有機ELディスプレイ。高輝度による屋外視認性向上も
Nothing Phone(3)のディスプレイガラスは『Corning® Gorilla® Glass 7i』
Nothing Phone(3)は、ディスプレイにコーニング社の『Gorilla® Glass 7i』というガラスを採用。同ガラスは『2024年6月』にリリースされた比較的新しいモデルで、『優れた耐落下・耐擦傷性能』が特徴。Xiaomi 15T Proも同ガラスを採用しています。
Corningのラボ試験では、1mの高さからアスファルトを模した表面に落下しても破損せず、競合のリチウムアルミノシリケート製ガラスより優れた耐久性能を発揮(耐擦傷性も最大2倍に到達)。
ちなみにPhone(3)は『ディスプレイにフィルムが貼り付けられた状態』がデフォルト。純正のケースも付属するので、別途アクセサリーを購入しなくても傷を気にせず利用出来ます。
ガラスフィルムの選び方
| 項目 | 光学式センサーの場合(Phone 3は恐らくこちら) | 超音波式センサーの場合 |
|---|---|---|
| 強化ガラス(アルミノシリケート) | ◎ 最適(高透過) | ◎ 均質で音波減衰が少ない |
| ガラス・セラミック混合 | △ やや透過率低下、厚み次第 | △ 音波反射しやすい、厚み注意 |
| 高強度セラミック系(Armor系) | ○〜△ 調整次第で可 | ○(最新モデルなら)だが薄さが重要 |
| 樹脂フィルム系(TPU、PET) | ○ 高透過で柔軟、だが傷つきやすい | ○ 音波透過も良好だが耐久性が低い |

明るい場所でも十分な視認性を得られるが長時間利用には注意
Nothing Phone(3)の画面の明るさを手動で『100%』に設定し、照度計で実測すると『949LUX』。『明るさの自動調節』をONにして直射日光下で再実測すると『1,905LUX』を記録。これまで実測した端末と比較して『かなり明るい』部類に入ります。
画面の明るさは、直射日光下など明るい場所での視認性向上に影響。カメラ撮影時に被写体をしっかり確認しながら撮影出来るなど、メリットは様々です。ただし『明るい表示』には大きな消費電力が伴うので、『明るい設定のまま長時間使用を続ける』のは避けましょう。

『高輝度』『高解像度』『10bit』が臨場感と見やすさを向上させる
CANON EOS RP(フルサイズ)でNothing Phone(3)の画面を撮影後、RAW現像して色合いを近づけています(実際の表示と異なる場合あり)。色彩の設定は自動調整。
『明るい輝度』『高解像度(1260 x 2800px)』に加え、『10bit』の色深度(10億7000万色表示)に対応するNothing Phone(3)のディスプレイ。1,000,000:1 以上のコントラスト比で、明るい部分と暗い部分の差をダイナミックに表現(HDR 10+サポート)。



前世代(Phone 2)比較で屋外輝度『+123%(1,600nit)』、ピクセル密度も『+16.7%(460ppi)』向上。これは『屋外での視認性向上』『写真・文字・映像をよりシャープに表示』出来るようになったことを意味します。



HDRコンテンツを表示する際のピーク輝度を4,500nitまで高める設定
Nothing Phone(3)のピーク輝度(全体ではなくディスプレイの一部を明るく出来る最大輝度を示す)は『4,500nit』。HDRディスプレイ(設定→ディスプレイから)をONにすると、HDRコンテンツを表示した際にピーク輝度が最大化(電池の減りが早くなる)。

ディスプレイの色温度調整方法
『設定』→『ディスプレイ』→『カラー』からは細かい色温度の調整を行えます。自然な色合いを求める場合は『標準』。派手さや見映えを重視するなら『鮮明』を選びましょう。

ブルーライトを制御する夜間モードはスケジュール管理機能を搭載
夜間モードは、輝度設定黄味の強さに加えて『スケジュール』を組むことも可能。指定した時刻に『自動ON』『自動OFF』出来るので、毎日設定する必要はありません。



【Nothing Phone (3)の指紋認証】高輝度の恩恵か。高精度かつスムーズにロック解除
Nothing Phone(3)の指紋認証は、背面や側面式ではなく『ディスプレイ埋め込み』タイプ。特に表記が無いので、流通量が多い『光学式指紋センサー』を採用している可能性が高いです。
光学式指紋センサー搭載モデルは『認証速度(精度)』に差がある印象。実際に試してみて、Phone(3)の認証速度は『速い』と感じました(認証ミスは今のところほぼ無い)。
光学式指紋センサーは『認証時に画面を局所的に高輝度にする』仕組みが一般的。輝度が高いほど反射光が増え、指紋の模様を鮮明に読み取れるように(認証率が上がりやすい)。
ピーク輝度が『4,500nit』と高いPhone(3)。素早い認証速度もある意味納得です。ただし分厚いガラスフィルムを貼り付けると、構造的に認証精度が低下する場合も。
指紋認証の精度を重視するのであれば、薄型のガラスフィルム(0.2〜0.3mm程度)か、TPU・PET系(柔らかい素材)のフィルムがお勧めです。
【Nothing Phone (3)のスピーカー音質】全体的にバランスを重視。中域評価高めで高域までしっかり伸びる


Xiaomi 15 Ultraで録音したwaveデータをスペクトログラム化しています。


低域(20Hz~250Hz)は比較的しっかり出ているが、極端に強調されているわけではなく分布がなだらか。中域(500Hz〜3kHz)に持続的な成分が多く、音楽の基礎帯域がしっかり再現されている様子。高域も20kHz近くまで伸びているが、全体的にややスムーズでピークが目立ちすぎない。
声・メロディの明瞭度を優先した設計で中域の評価は高め。高域は最近のスマホ同様、シャープさや解像感を強調するチューニングがされている印象。ひずみや大きな共鳴は少なく、聴き疲れしづらい安定した再生が特徴。
【Nothing Phone (3)のBluetooth環境】音質と遅延を自動最適化する、万能Bluetoothコーデック『aptX Adaptive』サポート。『LE Audio(LC3)』も接続可能
【aptX Adaptive】人が多い駅のホームなどで音が途切れづらくなる

下位モデルCMF Phone 2 ProのSocメーカーはMediaTek製。高音質と低遅延を両立するQualcommのBluetoothコーデック『aptX Adaptive』を使えないのはデメリットの一つ。
Nothing Phone(3)のSocはQualcomm社の『Snapdragon 8s Gen 4』。高い処理能力を持つだけでなく『aptX Adaptive』をサポートしています。
aptX Adaptiveは環境に合わせて『ビットレート(データ量)』を自動的に調整。電波干渉が大きいときは、転送するデータ量を減らして『音の途切れ』を制御(駅のホームなどで本当に途切れない)。
| コーデック名 | aptX | aptX Adaptive | LDAC |
| 開発元 | Qualcomm | Qualcomm | Sony |
| 最大ビットレート | 352/384 kbps (固定) | 279~420 kbps (可変) | 330/660/990 kbps (選択) |
| 最大サンプリング周波数 | 48 kHz | 96 kHz | 96 kHz |
| 最大ビット深度 | 16 bit | 24 bit | 24 bit |
| 遅延 (目安) | 約 100~150 ms | 約 50~80 ms (低遅延モード時) | 約 100~250 ms (ビットレート依存) |
| 適応性 | なし | あり (環境に合わせて可変) | モード選択 (手動/自動) |
| 特徴 | 標準的な高音質 | 音質、遅延、安定性のバランス | 高ビットレートでの高音質志向 |
『音楽を聴く』『動画を観る』『ゲームをプレイ』など、利用用途が広いハイエンドモデルNothing Phone(3)。aptX Adaptiveに対応するイヤフォン(ヘッドフォン)を使用すると、オーディオ環境が大きく改善されます。
【LE Audio(LC3)】警告は出るけど接続(再生)可能
Redmi Buds 5 Proの場合、LE Audio(次世代オーディオコーデックLC3で接続)をONにすると『この機能はお使いのデバイスと互換性がない可能性があります』と注意が表示。ただし音楽の再生は問題なく行えました(うまく再生出来ない時は一度ペアリングを解除して再接続)。


| 項目 | SBC(クラシックA2DP) | LC3(LE Audio) |
|---|---|---|
| 標準登場年 | Bluetooth A2DP(2003頃)、必須コーデック | Bluetooth 5.2 に伴う LE Audio(2020年発表) |
| ビットレート範囲 | 約 192–345 kbps(最大で512 kbpsステレオ仕様あり) | 約 16 kbps ~ 345 kbps/ch。より柔軟で低ビットレートでも高品質 |
| サンプリングレート | 最大 48 kHz(16–48 kHz 対応) | 8 ~ 48 kHz(柔軟)|高解像度版 LC3plus では最大 96 kHz also supported |
| オーディオ品質 | 中程度(ビットレートに依存) | 同等ビットレートでも明らかに高品質。低ビットレートでも優れた音質 |
| 遅延(レイテンシ) | 高め(約 200ms 程度)でリアルタイム処理には不利 | 低遅延を実現、リアルタイム用途に強い |
| 効率(圧縮・電力) | 非効率、高ビットレート必要、消費電力や帯域を多く使用 | 非常に効率的で、帯域や電力消費を抑制しつつ高音質化 |
| パケット損失への耐性 | 特記事項なし | パケットロス補完(Packet Loss Concealment)機構により、途切れにくく安定した再生 |
| 主な用途・特徴 | Bluetooth Classic デバイス全般の標準で広く普及 | 音楽・通話・補聴器・ブロードキャスト(Auracast)など対応用途が多岐にわたる |
【Nothing Phone (3)のGlyph Interface】より実用的に生まれ変わったNothingの独自機能
Nothingの独自機能である『Glyph Interface』。従来モデルまでは『LEDライトを光らせて通知する』といった仕組みでしたが、Phone(3)では背面右上部分にドット絵の表示が可能な『Glyphマトリックスディスプレイ(489個のマイクロLEDを使用)』を用意。
カメラアプリ使用時に『Glyphミラー』をONにすると、Glyphマトリックスディスプレイで大体の構図を確認しながら『背面カメラで自撮り』が可能になります。

【Glyph Toys】時計・電池残量表示・ストップウォッチ機能に加えてゲームも出来る小さな遊び場
Glyph Toys(設定→Glyph Interfaceから)は、Glyphマトリックスディスプレイを使用した『実用』&『遊び』機能です。音量調節(-)の近くに備えられたGlyphボタンは『表示』『モード切り替え(短く押す)』『操作』に対応。
Glyph Toysで利用可能な機能(今後のアップデートで追加される可能性あり)
- デジタル時計:昔のデジタル時計スタイル
- 瓶回し:瓶を回してどこかまたは誰かを選ぼう!(Glyphボタン長押しでスピン)
- バッテリー:バッテリー残量と充電状況が一目瞭然
- ストップウォッチ:Glyphボタン長押しで開始・停止・リセット
- Glyphミラー:背面カメラで最高の自撮りを撮影出来る(Glyphボタン長押しでスピン)
- 日時計:太陽の方角を教えてくれる
- マジック8ボール:予測が当たることもある
- じゃんけん:Glyphボタン長押しでラウンド開始
- 万物平等:バブルタイム
- 磁石:シンプルなコンパス(Glyphボタン長押しで角度を表示)
- 食いしん坊コバエ:デバイスを傾けてコバエを操作して30秒以内にできるだけ多くの食べ物を食べよう(Glyphボタン長押しでゲーム開始)
【Essential通知】指定した連絡先からの通知にオリジナルアイコンを表示させる
Essential通知(設定→Glyph Interface→Essential通知)を設定すると、特定のルールに対してGlyphマトリックスディスプレイにオリジナルアイコン(画像)を表示することが出来ます。
Rakuten LinkにハイパーガジェットからSMSメッセージが届いた際にオリジナルアイコン(画像)を表示する方法
Essential通知を開いて『+新しいルール』を選択。任意の『ルール名』を入力したらアプリ一覧から『Rakuten Link』を選択。

『以下のいずれかのキーワードを含む』部分に『ハイパーガジェット』と入力し(Rakuten Linkで名称を登録している場合。条件は複数設定可能)、アイコンにオリジナル画像を選択して『アイコンとして使用する』を選択。


一通りの設定が完了したら『ルールを保存する』を選択。

指定した連絡先(ハイパーガジェット)からSMSメッセージが届いたら、Glyphマトリックスディスプレイに設定したカスタムアイコンが表示されました(Rakuten LinkだけでなくLINEでも問題なく動作)。
寝ている時間帯はGlyphマトリックスディスプレイの表示を自動OFFに
就寝時刻の設定(設定→Glyph Interfaceから)を行うと、Glyphマトリックスディスプレイに通知を表示する『開始時刻』『終了時刻』を曜日単位でスケジューリング出来ます。

【Nothing Phone (3)で使えるジェスチャー】電源ボタン2回押しが『アプリ』から『機能』まで幅広く柔軟に対応
Nothing Phone(3)には便利なジェスチャー機能が用意されています(設定→特別機能→ジェスチャーから細かく設定可能)。
- スクリーンショットのジェスチャー:3本指で下にスワイプしてスクリーンショットを撮影
- 電源ボタンを2回押す:なし、カメラ、トーチ、デバイスコントロール、ウォレット、QRコードスキャナ、ビデオカメラ、サイレントモード、ミュート、アプリとアプリのショートカット
- 電源ボタン長押し:デジタルアシスタントにアクセスする
電源ボタン2回押しは『Glyphタイマー』から『ウォレット』『アプリのショートカット』まで幅広く対応。アプリのショートカットを『ChatGPT』、『電源ボタン長押し』のデジタルアシスタントを『Gemini(Google)』に設定するといった使い方も可能です。

デジタルアシスタントを変える場合は『設定』→『アプリ』→『デフォルトアプリ』→『デジタルアシスタントアプリ』から。

【Nothing Phone (3)はクローンアプリ&アプリロッカー対応】1台で2役!プライベートと仕事の使い分けをスマートかつ安全に
Nothing Phone(3)では、アプリを複製(2つインストール)可能な『クローンアプリ』という機能を使うことが出来ます(設定→アプリ→クローンアプリから)。

例えばクローンアプリを開いて『Googleドライブ』にチェックを入れると、自動的に『もう一つのGoogleドライブ』がインストール。複製したアプリは『異なるID』でログイン可能です。


仕事で利用する場合は『アプリロッカー(設定→アプリ→アプリロッカー)』の設定をお勧めします。アプリロッカーを適用したアプリを開くには『本人確認』が必要に。セキュリティを高めて安全に情報を管理出来ます。

【Nothing Phone (3)のEssential Key & Spaceについて】スクリーンショットを音声メモと同時に保存&AI管理出来る。Phone(3)では文字起こし(オンデバイス)精度向上。データの効率化も進む

Nothing Phone(3)の右側面には、電源ボタンの下に『Essential Key』が用意されています。
- 素早く1回押す:スクリーンショットを撮ってEssential Spaceに保存
- カメラアプリ起動中に素早く1回押す:被写体をEssential Spaceに保存
- 長押し:録音してEssential Spaceに保存(自動文字起こし)
- 背面を上にして端末を置いた状態で長押し:赤いランプが点滅(Glyphディスプレイに音声波形表示)して録音開始(Essential Spaceに保存)
- 素早く2回押す:Essential Spaceを開く
Essential Spaceに保存されたデータは、AIが解析して『タスク化』『リスト化』などを行います。クーポンの期限切れをリマインドしてくれることも。アップデートでGoogleカレンダーとの連携が可能になりました。
オンデバイス(オフライン)の文字起こし精度をPhone(3)とCMF Phone 2 Proで比較
端末を手に持って画面がONの状態でEssentialボタンを長押しすると、手を離すまで音声を録音。録音された音声は、リアルタイムで自動的に文字起こしされます(オンデバイス処理。オフラインでも可能)。
CMF Phone 2 ProとNothing Phone(3)で、文字起こしの精度を比較(別のスマートフォンから音声を流して同時に検証)。


どちらも文脈から内容を辿れる程度のクオリティですが、CMF Phone 2 Proは聞き取り間違いに加えて『誤変換』が多い印象。Phone(3)は聞き取り間違いと誤変換がどちらも少ない。
音声データを聴き比べてみると、Phone(3)の方が『ノイズレス(クリア)』だと感じました。音声の認証精度向上は『録音性能の高さ』も影響していると予想。Phone(3)はボイスレコーダーとしても優秀です。
AI分析で録音データをより効率的に管理
画面を下にして机などにPhone(3)を置いた状態でEssentialボタンを長押しすると、赤いランプが点滅してGlyphディスプレイに音声波形が表示(再びEssentialボタンを長押しするなど停止するまで録音)。
この録音データはリアルタイムに文字起こしされず、Essentialスペースから『AI分析を開始する(クラウド処理)』を選択する必要があります(現時点で分析可能な時間は300分/月)。
分析後は『文字起こし』だけでなく『概要』『主なトピック』などに分かりやすく自動分類。録音した時間が長いと処理を終えるまでに少し時間を要しますが、複数人で話し合って何かを決める時に効力を発揮しそうです。
【Nothing Phone (3)に純正する付属ケース】背面デザインを活かすならやっぱり透明!安心感の強い正確な作り。カメラレンズやディスプレイも保護
Nothing Phone(3)には、背面のスケルトンデザインを阻害しない純正の透明ケースが付属。フニャフニャの安っぽい素材ではなく、全体的にしっかりとした作り。ディスプレイ面にはTPUフィルムが貼られているので、初期投資を抑えられます。


凹凸のあるレンズ部分やディスプレイ面は、傷がつきづらいよう高めに設計。


当然ながら『Glyphボタン』部分もカットされています。ボタンは押しやすくホール位置にズレなし。




Nothing Phone(3)で楽天モバイルを使えるか
Nothing Phone(3)は楽天モバイルの主な通信バンド(4G:Band3/Band18※パートナー回線/Band 28、5G(sub6):Band n77)をサポートしています(eSIM対応、楽天モバイルで取り扱いあり)。

実機で通話アプリRakuten Linkの動作状況を確認したところ、『通話』『SMSメッセージ送受信』『ビデオ通話』を問題なく行えました。マイクや音声処理性能が高いからか、通話の音声がやけにクリア。これは『録音文字起こし』『WEB会議(Google Meet使用)』を検証した際にも感じたことなので、偶然では無さそうです。
Nothing Phone(3)の日本発売日
2025年8月28日(木)
Nothing Phone(3)の日本販売価格
- 12GB/256GB:124,800円((税込)
- 16GB/512GB:139,800円(税込)

Nothing Phone(3)のアップデート保証期間
発売日を起点に5年間のAndroidアップデート、7年間のセキュリティアップデート(機能改善や不具合修正が含まれる)
Nothing Phone(3)の同梱品
- Nothing Phone (3)
- Nothing Cable (c-c) 100 cm
- Phone (3) case
- Phone (3) スクリーンプロテクター (貼付済み)
- SIMトレイ取り出しツール
- 安全と保証に関する情報
Nothing Phone(3)の主なスペック
プロセッサ
- Qualcomm Snapdragon 8S Gen 4
- CPU:Qualcomm® Kryo™(8コア/最大3.21 GHz)
- プライムコア×1(Cortex-X4/最大3.2 GHz)
- パフォーマンスコア×7(Cortex-A720/最大3.0 GHz)
- 製造プロセス:4 nm(TSMC)
- GPU:Qualcomm® Adreno™ 825
- NPU:Qualcomm® Hexagon™ NPU(Qualcomm® AI Engine)
- ISP:Qualcomm Spectra™ 18-bit Triple AI ISP
メモリ & ストレージ
- 12GB + 256GB
- 16GB + 512GB
サイズ・重量
- 高さ:160.60 mm
- 幅:75.59 mm
- 厚さ:8.99 mm
- 重量:218 g
ディスプレイ
- 6.67インチ フレキシブル AMOLED(Corning® Gorilla® Glass 7i)
- 解像度:1260 × 2800(460 ppi)
- 色深度:10ビット(10億7000万色)
- コントラスト比:1,000,000:1
- 輝度:ピーク 4500 ニト/屋外 1600 ニト/通常 800 ニト
- リフレッシュレート:120 Hz(アダプティブ)
- タッチサンプリングレート:1000 Hz
カメラ
メイン(広角)
- 50 MP/f/1.68/1/1.3” センサー
- OIS & EIS、AF、x2 OCL PDAF、2x センサー内ズーム
ペリスコープ望遠
- 50 MP/f/2.68/1/2.75” センサー
- OIS & EIS、AF、3倍光学、6倍センサー内ズーム、60倍ウルトラズーム
超広角
- 50 MP/f/2.2/1/2.76” センサー、114° FOV
フロント
- 50 MP/f/2.2/1/2.76” センサー、81.2° FOV
機能
- TrueLens エンジン 4、Ultra XDR、オートトーン、ポートレートオプティマイザー
- モーションキャプチャー、ナイト、マクロ、アクションモード
動画
- Ultra XDR:4K/1080p 30/60 fps
- スローモーション:4K/1080p 120 fps
- タイムラプス:4K/1080p
バッテリー & 充電
- Si/C リチウムイオン 5150 mAh
- 有線:65 W 高速充電
- ワイヤレス:15 W、リバースワイヤレス:5 W
- リバース有線:7.5 W
- 充電規格:PPS / PD3.0 / PD2.0 / QC4.0 / QC3.0 / QC2.0 / DCP / SDP / CDP / UFCS
マルチメディア(対応形式)
- 音楽(再生):MP3, AAC, AAC+, WMA, AMR-NB, AMR-WB, WAV, FLAC, APE, OGG, MID, M4A, IMY
- 録音:WAV, AAC, AMR
- 動画(再生):MKV, MOV, MP4, H.265(HEVC), AVI, WMV, TS, 3GP, FLV, WEBM/録画:MP4
- 画像(再生):JPEG, PNG, BMP, GIF, WEB, HEIF, HEIC, DNG/出力:JPEG, DNG
スピーカー
- シンメトリック ステレオスピーカー
マイク
- 3つのハイデフィニションマイク
接続
- SIM:Nano-SIM(デュアルSIM)、eSIM対応
- デュアルSIM:4G/5G DSDS/DRDSDS、CSFB/VoLTE/VoNR
- 2G GSM:850 / 900 / DCS / PCS
- 3G UMTS:B1/2/4/5/6/8/19
- 4G LTE:1/2/3/4/5/7/8/12/17/18/19/20/25/26/28/30/34/38/39/40/41/42/48/66/71
- 5G NR(SA/NSA):n1/2/3/5/7/8/12/20/25/28/30/38/40/41/48/66/71/77/78
- Wi-Fi 7(802.11 a/b/g/n/ac/ax/be、2.4G/5G/6G トライバンド、2×2 MIMO/MU-MIMO、Wi-Fi Direct, Hotspot)
- Bluetooth 6.0
位置情報
- L1+L5 デュアルバンド A-GPS, GLONASS, BDS, GALILEO, QZSS, NavIC, SBAS
NFC & おサイフケータイ®(FeliCa)
- 対応
センサー
- 画面内指紋認証、加速度計、電子コンパス、前面環境光、ジャイロ、近接、X軸リニアハプティックモーター
カラー
- ホワイト、ブラック
防水・防塵
- IP68(完全防水防塵性能)
Nothing Phone(3)にお勧めなSIM
docomoの周波数帯対応状況
- 4G:Band1(◎)、Band3(◎)、Band19(◎)、Band21(×)、Band28(◎)、Band42(◎)
- 5G(sub6):Band n77(◎)、Band n78(◎)、Band n79(×)
docomo回線が使えるお勧め格安SIM
Softbankの周波数帯対応状況
- 4G:Band1(◎)、Band3(◎)、Band8(◎)、Band11(◎)、Band28(◎)、Band42(◎)
- 5G(sub6):Band n77(◎)
Softbank回線が使えるお勧め格安SIM
auの周波数帯対応状況
- 4G:Band1(◎)、Band3(◎)、Band11(◎)、Band18(◎)、Band28(◎)、Band41(◎)、Band42(◎)
- 5G(sub6):Band n77(◎)、Band n78(◎)
au回線が使えるお勧め格安SIM
楽天モバイルの周波数帯対応状況
- 4G:Band3(◎)、Band18(パートナー回線)(◎)、Band 28(◎)
- 5G(sub6):Band n77(◎)
楽天回線が使えるお勧め格安SIM
Nothing Phone(3)に関するQ&A
- Nothing Phone(3)はワイヤレス充電に対応していますか?
ワイヤレス充電に対応しています(最大15W)。Bluetooth機器などへのワイヤレス給電を行うことも出来ます(最大7.5W )。
- Nothing Phone(3)はおサイフケータイを使えますか?
FeliCa ICチップを搭載しており、おサイフケータイを利用することが可能です。
- Nothing Phone(3)にケースは付属しますか?
純正のTPU(透明)ケースが付属します。
- Nothing Phone(3)に充電器は付属しますか?
付属しません。純正のUSBケーブルは付属します。
- Nothing Phone(3)の画面にフィルムは貼られていますか?
開封時すでに貼り付けられていました。
- Nothing Phone(3)のカメラはマクロ撮影に対応していますか?
ペリスコープ(望遠)カメラでマクロ撮影をすることが可能です。
- Nothing Phone(3)の防塵防水性能は?
最上位クラスとなるIP68に準拠しています。
- Nothing Phone(3)ではeSIMを使えますか?
使えます。
実際に使って感じたNothing Phone(3)のメリットとデメリット

- 見せびらかしたくなるNothingならではのスケルトンデザイン
- あらゆる操作を円滑にこなす高い処理能力(AnTuTuベンチマーク190万)
- ストレスを感じない程度の充電速度(15分で約3割完了)
- 利便性と遊び心が共存するGlyphインターフェース(ディスプレイ)
- 昼間の風景・食べ物から夜景・動画(手ブレ補正精度高め)までオールマイティに撮りこなすメインカメラ
- 望遠からマクロまで幅広くフォーカス出来るペリスコープ(望遠)カメラ(ポートレートモードは大迫力)
- 低遅延&高音質BluetoothコーデックaptX Adaptiveをサポート
- 直射日光下でも視認性の高いディスプレイ(屋外輝度1,600nit)
- 明るいディスプレイを活かしたスムーズかつ高精度な指紋認証
- Glyphマトリックスディスプレイを利用して背面カメラで自撮り出来る
- 指定した連絡先に合わせてオリジナルアイコンを設定出来るEssential通知
- オンデバイス(オフライン)での文字起こし精度向上
- 録音データのAI分析が長い話し合いの結果を効率よくまとめてくれる
- 録音や通話時の音質が良好(ノイズが少なく聞き取りやすい)
- 付属するケースの品質が高い
- 防塵防水(IP68)&おサイフケータイ(FeliCa)対応
- アップデート期間が長い(発売開始から5年間のAndroidアップデート、7年間のセキュリティアップデート)
- 録音・WEB会議・通話の品質を高める3つのマイク
- 軽量設計ではない(約218g)
- ケースなしだと指紋が目立つ
- 低照度では超広角カメラの解像感が落ちやすい

